Demuestra que 3 puntos forman triángulo rectángulo
Ponemos nombre a los puntos en primer lugar
 ;
  ;   ;
 ;  
Creamos los vectores dos a dos



Como  y
 y  no son proporcionales, tenemos garantizado que los 3 puntos forman un triángulo.
 no son proporcionales, tenemos garantizado que los 3 puntos forman un triángulo.
Si fuesen proporcionales, los 3 puntos estarían alineados.
Para comprobar que el triángulo es rectángulo, debemos encontrar entre los 3 vectores una pareja que sean ortogonales. En caso de encontrar esa pareja de vectores perpendiculares, demostraríamos que es triángulo rectángulo y además sabríamos en qué vértice está el ángulo recto.
Usamos el producto escalar para comprobar si son ortogonales


El ángulo recto está en el vértice B
 
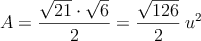
Para calcular el área tomamos como base el módulo del vector  y como altura el módulo del vector
 y como altura el módulo del vector 


Otra forma de resolverlo
Se puede resolver también, después de comprobar que los 3 puntos no están alineados, calculando los módulos de los 3 vectores y comprobando que forman uan terna pitagórica, es decir, la suma de los cuadrados de los dos más pequeños (catetos) debería ser igual al cuadrado del lado más grande (hipotenusa)





Demuestre que los tres puntos (1,-1, 3), (2, 1 ,7) y (4, 2, 6) son los vértices de un triángulo rectángulo y calcule su área.
 Matemáticas IES
 Matemáticas IES