Ecuaciones de la recta 4078
Escriba las ecuaciones paramétricas, continua e implícita de la recta que pasa por los puntos
y
SOLUCIÓN
Como punto tomamos
y como vector
También podemos tomar cualquier otro vector proporcional, por ejemplo ![]()
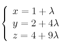
Ecuaciones paramétricas

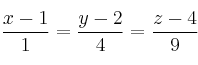
Ecuación continua

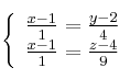
Ecuaciones implícitas

