Ecuaciones de la recta en el espacio 4567
Dados los puntos
y
se considera la recta
que pasa por ambos. Se pide:
a) Halla un vector director de
.
b) Obtén la ecuación vectorial, paramétrica, continua e implícita (o general) de
.
SOLUCIÓN
a) ![]()
b) Obtendremos las ecuaciones de la recta
usando el vector
y el punto ![]()
Ecuación vectorial
![]()
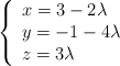
Ecuaciones paramétricas

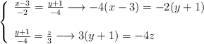
Ecuación continua
![]()
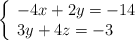
Ecuaciones implícitas

Quitando paréntesis y ordenando quedarían de la forma
![]()