Ejercicio planos y rectas en el espacio
Dados los puntos
,
y
, se pide:
– a) Ecuación del plano
que pasa por
,
y
– b) Vector normal al plano
– c) Ecuación de una recta perpendicular al plano
y que pase por el punto ![]()
SOLUCIÓN
– a) Un plano se puede determinar con un punto y dos vectores.
Punto:
Vectores
y 

Resolvemos el determinante y obtenemos la ecuación del plano:
![]()
– b) De la ecuación anterior obtenemos el vector normal ![]()
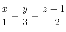
– c) Para determinar una recta necesitamos vector y punto.
El punto nos lo da el enunciado:
Una recta perpendicular a un plano, tiene como vector director el vector normal al plano, en este caso: ![]()
Por tanto, una ecuación de la recta sería:
