Ejercicio vectores en el espacio
Preparamos los vectores que necesitaremos en los siguientes apartados:
 ,
 ,  ,
 , 
– a)  
– b)  
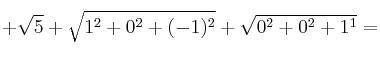
– c) Perímetro =  
 
 
– d) Calculamos el área del triángulo con la fórmula:
Área = 

Por tanto, Área = 
Consideramos los puntos  ,
 ,  y
 y  .
.
– a) Calcula  (distancia entre los puntos A y B)
  (distancia entre los puntos A y B)
– b)  (producto escalar)
 (producto escalar)
– c) Calcula el perímetro del triángulo de vértices A, B y C
– d) Halla el área del triángulo de vértices A, B y C
 Matemáticas IES
 Matemáticas IES