Selectividad Andalucía 2001-1-A2
– a) Asíntota vertical  porque
 porque 
Asíntota horizontal NO HAY porque 
La asíntota oblicua es una recta de ecuación  , donde m y n se calculan con las expresiones siguientes:
 , donde m y n se calculan con las expresiones siguientes:
 
    
![n =  \lim\limits_{x \rightarrow \infty} \left[f(x) -mx\right] n =  \lim\limits_{x \rightarrow \infty} \left[f(x) -mx\right]](local/cache-vignettes/L183xH42/72c6eb1bc851831e21a76fbeb4ed6ac0-84c35.png?1688036683)
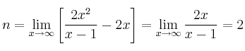
Si lo aplicamos a la función  obtenemos:
 obtenemos:
 
    
![n =  \lim\limits_{x \rightarrow \infty} \left[\frac{2x^2}{x-1} -2x\right] = \lim\limits_{x \rightarrow \infty} \frac{2x}{x-1}=2 n =  \lim\limits_{x \rightarrow \infty} \left[\frac{2x^2}{x-1} -2x\right] = \lim\limits_{x \rightarrow \infty} \frac{2x}{x-1}=2](local/cache-vignettes/L347xH72/1b3186a614a6cb7b35d30ed698922a46-ec043.png?1688090400)
La Asíntota oblicua es 
– b) Monotonía y extremos
 
Los intervalos a considerar son  ,
 ,  y
 y 
Si aplicamos  a un punto de cada intervalo obtenemos:
 a un punto de cada intervalo obtenemos:
 es creciente en
 es creciente en  
 es decreciente en
 es decreciente en  
 es creciente en
 es creciente en 
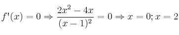
Como la función es continua en cada uno de lo tres nitervalos, concluimos que hay un máximo en x=0 y un mínimo en x=2.
Calculamos la segunda coordenada:
 MAX(0,0)
 MAX(0,0)
 MIN(2,8)
 MIN(2,8)
c) Veamos la gráfica
 
Sea  la función definida para
 la función definida para  por
 por 
– (a) Determina las asíntotas de la gráfica de  
– (b) Determina los intervalos de crecimiento y decrecimiento y los extremos relativos de  
– (c) Esboza la gráfica de 
 Matemáticas IES
 Matemáticas IES