Selectividad Andalucía 2006-3-B2
El área del recinto limitado por las curvas de ecuaciones
y ![]()
con
, vale
. Calcula el valor de
.
SOLUCIÓN
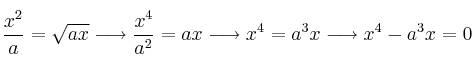
Para hallar el área entre dos curvas, en primer lugar calculamos sus puntos de corte:
Si resolvemos la ecuación obtenemos como soluciones
y ![]()
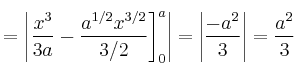
El área sería (tomamos valor absoluto y así no necesitamos saber la función está por encima ni la que está por debajo):

![= \left| \left. \frac{x^3}{3a}- \frac{a^{1/2} x^{3/2}}{3/2} \right]_0^a \right|= \left| \frac{-a^2}{3} \right| = \frac{a^2}{3} = \left| \left. \frac{x^3}{3a}- \frac{a^{1/2} x^{3/2}}{3/2} \right]_0^a \right|= \left| \frac{-a^2}{3} \right| = \frac{a^2}{3}](local/cache-TeX/cb7735756229db7a06deaf60057b719f.png)
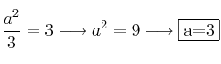
Como nos dice el enunciado que el área vale 3, igualando obtememos:

Recordemos que a es positivo según el enunciado.