Selectividad Andalucía 2009-5-B4
Sea la recta
definida por

– a) Determine la ecuación del plano perpendicular a
que pasa por el punto
– b) Halla los puntos de r cuya distancia al origen es de 4 unidades
SOLUCIÓN
– a) Si el plano es perpendicular a la recta, el vector director de la recta nos valdrá como vector normal del plano.
Dado que tenemos un punto por donde pasa y su vector normal, podemos determinar la ecuación del plano.
En primer lugar hallamos el vector director de la recta (mediante alguno de los procedimientos descritos en los apuntes. Usaremos este: obtenemos un par de puntos de la recta y a partir de ellos el vector director
Si
El primer punto sería ![]()
Si
(en la 1ª ecuación)
(en la 2ª ecuación)
El segundo punto sería ![]()
El vector director de la recta será
, por tanto el plano tendrá como ecuación ![]()
Ahora le hacemos pasar por el punto
y obtenemos el valor de
![]()
Ecuación del plano que nos piden: 
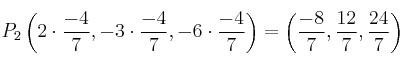
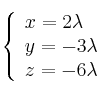
– b) Necesitamos la recta en paramétricas para obtener un punto genérico. Ya tenemos (del apartado a) punto y vector director de la recta, por tanto sus ecuaciones paramétricas son:
Un punto genérico de la recta es ![]()
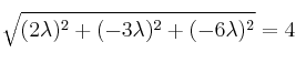
La distancia de un punto
al origen
es el modulo del vector 
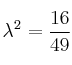
Si la distancia debe ser 4 entonces:
Elevamos al cuadrado para eliminar la raíz

Habría dos puntos que están a 4 unidades de distancia de la recta (uno por cada valor de
obtenido)
