Selectividad Murcia Septiembre 2012 A3
Para la función
, se pide:
a) Dominio de definición
b) Calcule
. ¿Es posible calcular también
?. Justifique la respuesta
c) Calcule ![]()
SOLUCIÓN
Dominio de 
Para encontrar el domino debemos tener en cuenta las condiciones siguientes:
1)
para evitar denominador nulo
2)
para evitar raíz de negativo
Resolvemos la inecuación:
![]()
![]()
Los intervalos a considerar son los siguientes:
Tomamos un punto de cada intervalo y comprobamos si cumple la inecuación
![]()
![]()
![]()
Tenemos entonces
| + | - | + |
Finalmente comprobamos si los extremos -1 y +1 cumplen la inecuación.
La solución de la inecuación es
, por tanto el dominio es:
![]()
apartado b

no se puede calcular porque la función no está definida a la izquierda de 1
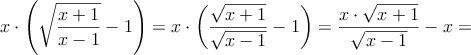
apartado c
INDETERMINACIÓN
Operamos la función a ver si conseguimos quitar la indeterminación

![]()
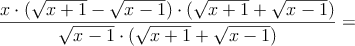
[multiplicamos y dividimos por el conjugado]
![]()
![]()
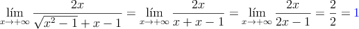
Por lo tanto:

Como
, tenemos que:
![]()