• Apuntes
  • Vídeos
  • Ejercicios
    • Resueltos
    • Por Curso
      • 1º ESO
      • 2º ESO
      • 3º ESO
      • 4º ESO
      • 1º BACH. CIENCIAS
      • 1º BACH. SOCIALES
      • 2º BACH. CIENCIAS
      • 2º BACH. SOCIALES
  • Más recursos
    • Actividades Interactivas
    • Selectividad (PAU)
    • Acceso Mayores 25
    • LaTeX
Inicio ›EJERCICIOS de Matemáticas ›2º BACH. CIENCIAS ›Geometría en el Espacio ›Vector dados 2 puntos

Vector dados 2 puntos

distanciasEjercicios_Resueltosgeometría3Dvectores_3D

Dados los puntos A(1,1,0) y B(1,0-2), se pide:

– a) Coordenadas del vector \vec{v} = \vec{AB}
– b) Módulo del vector \vec{v}
– c) Distancia entre los puntos A y B

SOLUCIÓN

– a) \vec{v} = \vec{AB} = (0, -1, -2)
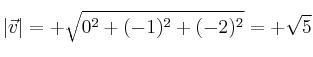
– b) |\vec{v}|=+\sqrt{0^2+(-1)^2+(-2)^2}=+\sqrt{5}
– c) +\sqrt{5} (la distancia entre dos puntos es el módulo del vector que determinan.

Comentar el ejercicio

  • 2º BACH. CIENCIAS
    • Funciones, Derivadas e Integrales
    • Geometría en el Espacio
    • Matrices, Determinantes y Sistemas
    • SELECTIVIDAD - EvAU
  • Mapa del sitio
  • Conectarse
  • 2001-2026 — Matemáticas IES — Contactar con dani