Vectores en el espacio. Distancia. Producto escalar y vectorial
Considera los puntos
,
y ![]()
– a) Determina los vectores
y
– b) Calcula la distancia entre los puntos
y
– c) Calcula el producto escalar
– d) Calcula el producto vectorial
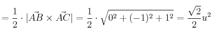
– e) Halla el área del triángulo determinado por los puntos
,
y ![]()
SOLUCIÓN
– a)
;
– b)
– c)
– d)
Por tanto:
– e) Área 