polinomios operaciones
– a) 
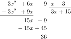
Podemos hacer la división por Ruffini o por la división clásica de polinomios
División clásica
![\polylongdiv[style=D]{3x^2 + 6x - 9}{x-3} \polylongdiv[style=D]{3x^2 + 6x - 9}{x-3}](local/cache-vignettes/L230xH128/7e9e38bb70f95f10c43ee13dba386fd5-551f1.png?1688320324)
Por la regla de Ruffini
![\polyhornerscheme[x=3,resultstyle=\color{red},resultbottomrule,resultleftrule,resultrightrule]{3x^2 + 6x - 9}  \polyhornerscheme[x=3,resultstyle=\color{red},resultbottomrule,resultleftrule,resultrightrule]{3x^2 + 6x - 9}](local/cache-vignettes/L173xH99/4f4ca96ddb860c2f677ddca3b2133f35-21862.png?1688316724)
En ambos casos tenemos:
– Cociente:  
– Resto:  
– b) 
Hacemos  la división clásica de polinomios
![\polylongdiv[style=D]{3x^3 - 2x^2 + 3x + 3}{x^2+1} \polylongdiv[style=D]{3x^3 - 2x^2 + 3x + 3}{x^2+1}](local/cache-vignettes/L255xH128/193e18da172b914ea23fb55cbd37823e-05bf0.png?1688320324)
– Cociente:  
– Resto:  
Calcula el cociente y el resto de las siguientes divisiones:
– a)  
– b) 
 Matemáticas IES
 Matemáticas IES