Área bajo una curva
La interpretación geométrica de la regla de Barrow nos dice que la integral definida representa el área entre la curva y el eje de abcisas
– Esto es cierto si la curva es positiva en el intervalo [a,b], es decir, si está por encima del eje OX.
– Si estuviese por debajo, nos saldría un resultado negativo (tomando valor absoluto se soluciona el problema).
Sin embargo, hay veces en que la curva tiene partes por debajo y partes por encima
si hacemos la integral definida entre a y b nos conduciría a un resultado erróneo. Habría que descomponer la integral en tres partes correspondientes a los intervalos [a,c] [c,d] y [d,b] y además tener en cuenta que en el intervalo [c,d] debemos tomar valor absoluto (porque saldría un área negativa al estar por debajo del eje).
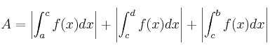
Lo más práctico es tomar valor absoluto en todos los intervalos (y así no necesitamos saber los que están por encima y los que están por debajo). El área (A) de la imagen anterior se calcularía así:

¿Cómo saber si la curva f(x) corta al eje X dentro del intervalo [a,b]?
Basta con resolver la ecuación
y ver si alguna de las soluciones está dentro del intervalo [a,b].
Si al resolver la ecuación
obtenemos que entre las soluciones hay dos (c y d) dentro del intervalo, calcularíamos el área con la fórmula:

Ampliación: Área entre dos curvas
Mensajes
18 de abril de 2019, 06:15, por Jason Melgar
Muchísimas gracias me sirvió de mucho y de antemano de nuevo gracias.
18 de abril de 2019, 06:16, por Jason Melgar
Muchísimas gracias me sirvió de mucho.
18 de abril de 2020, 03:29, por Melanie
Me sirvió de mucho .
Me gustaría como se hace la comprobación de las integrales definidas directas y de las integrales definidas.
Me serviría de mucho !!
18 de abril de 2020, 09:00, por dani
Para las integrales indefinidas la comprobación la puedes ver haciendo la derivada.
Para las definidas puedes usar Geogebra, bien en la web: Geogebra o descargándolo.
tendrías que teclear en geogebra:
Para saber el resultado de
Integral(x^2+1,-2,3) y te ofrece el resultado final numérico y además te dibuja el área