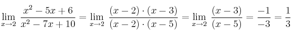
Calcular límite de una función racional

SOLUCIÓN
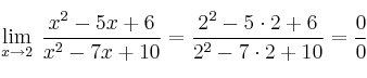
Indeterminación
. Tenemos que buscar el factor
en el numerador y en el denominador (podemos usar Ruffini para factorizar ambos polinomios).


Indeterminación
. Tenemos que buscar el factor
en el numerador y en el denominador (podemos usar Ruffini para factorizar ambos polinomios).
