Con la capitalización entregamos al banco determinadas cantidades de dinero en periodos regulares, con objeto de que al final tengamos un capital formado por las aportaciones periódicas más los intereses generados. Ejemplo: planes de pensiones.
Para aportaciones anuales usaremos la siguiente fórmula:
![C = \frac{a \cdot \left[ (1+i)^{t+1} - (1+i) \right]}{i} C = \frac{a \cdot \left[ (1+i)^{t+1} - (1+i) \right]}{i}](local/cache-vignettes/L242xH72/19f92647c4c4c614b86be1624f857d6a-059ef.png?1688054628)
–
: número de años
–
–
: anualidad
–
: Capital final
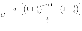
Otros periodos de capitalización
Aparte de aportaciones anuales, también existen otros periodos de capitalización, por ejemplo aportaciones trimestrales, semestrales, etc.
Fórmula para aportaciones trimestrales (4 veces al año)
![C = \frac{a \cdot \left[ \left(1+\frac{i}{4}\right)^{4 \cdot t+1} - \left(1+\frac{i}{4}\right) \right]}{\frac{i}{4}} C = \frac{a \cdot \left[ \left(1+\frac{i}{4}\right)^{4 \cdot t+1} - \left(1+\frac{i}{4}\right) \right]}{\frac{i}{4}}](local/cache-vignettes/L278xH107/50200d3572a6d33e281c71ec7afbfb36-a3275.png?1688116456)