Circunferencia a partir de 2 puntos, cuerda y distancia del centro
SOLUCIÓN
Dibujamos la situación

Podemos calcular la distancia entre A y B. Su mitad será el valor c.
Entonces, por Pitágoras podemos calcular el radio de la circunferencia.
Una vez que tenemos el radio y dos puntos de la circunferencia, podemos calcular su ecuación obteniendo el centro Ç(a,b).
Pasa por
Pasa por
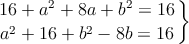
Debemos resolver el sistema
Sustituimos por ejemplo en la 2ª ecuación
Si
Si
Tenemos dos soluciones:
