Matemáticas IES

  • Inicio
  • Apuntes
  • Vídeos
  • Ejercicios
  • Ej. Resueltos
  • PAU
  • Acceso 25
  • Buscar
  • Portada del sitio
  • EJERCICIOS de Matemáticas
  • 1º BACH. CIENCIAS
  • Derivadas
  • Derivadas Ejercicios

Derivadas Ejercicios

|
  • derivada de una función

Calcula la derivada de la función y = \frac{2x-5x^2+x^3}{(2x-8)(3x-4)}

SOLUCIÓN

y = \frac{2x-5x^2+x^3}{(2x-8)(3x-4)}

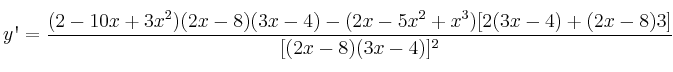
y\textsc{\char13} = \frac{(2-10x+3x^2)(2x-8)(3x-4)-(2x-5x^2+x^3)[2(3x-4)+(2x-8)3]}{[(2x-8)(3x-4)]^2}

comentariosComentar el Ejercicio

  • Secciones
  • 1º BACH. CIENCIAS
    • Cónicas
    • Derivadas
    • Ecuaciones
    • Ecuaciones Exponenciales y Logarítmicas
    • Exámenes
    • Funciones (I)
    • Funciones II
    • Geometría en el Plano
    • Inecuaciones
    • Integrales
    • Logaritmos
    • Números Complejos
    • Números Reales
    • Polinomios y Fracciones Algebraicas
    • Probabilidad
    • Sistemas de Ecuaciones
    • Sucesiones
    • Trigonometría
  • 1º BACH. SOC.
  • 1º ESO
  • 2º BACH. CIENCIAS
  • 2º BACH. SOC.
  • 2º ESO
  • 3º ESO
  • 4º ESO

Palabras clave

  • derivada de una función

2001-2025  — Matemáticas IES
Mapa del sitio | Conectarse | Seguir la vida del sitio  RSS 2.0

SPIP