Matemáticas IES

  • Inicio
  • Apuntes
  • Vídeos
  • Ejercicios
  • Ej. Resueltos
  • PAU
  • Acceso 25
  • Buscar
  • Portada del sitio
  • EJERCICIOS de Matemáticas
  • 4º ESO
  • Polinomios
  • División de polinomios

División de polinomios

|
  • operaciones_con_polinomios
  • división_clásica_polinomios

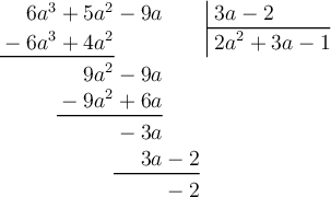
Efectúa la siguiente división de polinomios:
(6a^3 +5a^2 -9a) : (3a-2)

SOLUCIÓN

\polylongdiv[style=D, vars=a]{6a^3 +5a^2 -9a}{3a-2}

Cociente: 2a^2+3a-1
Resto: -2

comentariosComentar el Ejercicio

  • Secciones
  • 1º BACH. CIENCIAS
  • 1º BACH. SOC.
  • 1º ESO
  • 2º BACH. CIENCIAS
  • 2º BACH. SOC.
  • 2º ESO
  • 3º ESO
  • 4º ESO
    • Circunferencia
    • Ecuaciones
    • Estadística
    • Funciones 4º ESO
    • Geometría en el plano
    • Inecuaciones
    • Logaritmos
    • Números racionales
    • Números Reales
    • Polinomios
    • Probabilidad
    • Proporcionalidad
    • Radicales
    • Sistemas de ecuaciones
    • Trigonometría

Palabras clave

  • división_clásica_polinomios
  • operaciones_con_polinomios

2001-2025  — Matemáticas IES
Mapa del sitio | Conectarse | Seguir la vida del sitio  RSS 2.0

SPIP