Matemáticas IES

  • Inicio
  • Apuntes
  • Vídeos
  • Ejercicios
  • Ej. Resueltos
  • PAU
  • Acceso 25
  • Buscar
  • Portada del sitio
  • EJERCICIOS de Matemáticas
  • 1º BACH. CIENCIAS
  • Ecuaciones Exponenciales y Logarítmicas
  • Ecuaciones Exponenciales

Ecuaciones Exponenciales

|
  • ecuaciones
  • ecuaciones_exponenciales

Resuelve la ecuación:
\left( \frac{2}{5} \right)^x = \frac{8}{125}

SOLUCIÓN

\left( \frac{2}{5} \right)^x = \frac{8}{125}


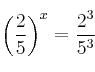
\left( \frac{2}{5} \right)^x = \frac{2^3}{5^3}


\left( \frac{2}{5} \right)^x = \left( \frac{2}{5} \right)^3


x = 3

comentariosComentar el Ejercicio

  • Secciones
  • 1º BACH. CIENCIAS
    • Cónicas
    • Derivadas
    • Ecuaciones
    • Ecuaciones Exponenciales y Logarítmicas
    • Exámenes
    • Funciones (I)
    • Funciones II
    • Geometría en el Plano
    • Inecuaciones
    • Integrales
    • Logaritmos
    • Números Complejos
    • Números Reales
    • Polinomios y Fracciones Algebraicas
    • Probabilidad
    • Sistemas de Ecuaciones
    • Sucesiones
    • Trigonometría
  • 1º BACH. SOC.
  • 1º ESO
  • 2º BACH. CIENCIAS
  • 2º BACH. SOC.
  • 2º ESO
  • 3º ESO
  • 4º ESO

Palabras clave

  • ecuaciones
  • ecuaciones_exponenciales

2001-2025  — Matemáticas IES
Mapa del sitio | Conectarse | Seguir la vida del sitio  RSS 2.0

SPIP