Ecuaciones Segundo Grado. Coeficientes son letras
Resuelve la ecuación:
![]()
SOLUCIÓN
Dada la ecuación de segundo grado
![]()
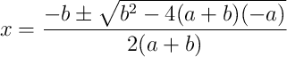
Identificamos los coeficientes para aplicar la fórmula general
![]()
![]()
![]()

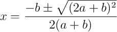
Desarrollamos el discriminante ![]()
![]()
![]()
![]()
![]()
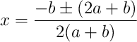
Sustituimos la raíz del discriminante


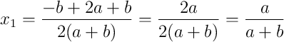
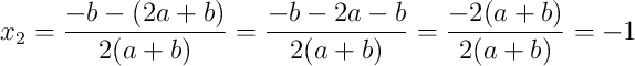
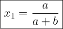
Calculamos las dos soluciones


Soluciones:
![]()