Portada del sitio > EJERCICIOS de Matemáticas > 4º ESO > Ecuaciones > Ecuaciones Segundo Grado
Ecuaciones Segundo Grado
Martes 16 de octubre de 2007, por


No tiene soluciones reales




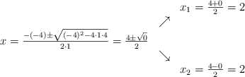
Resuelve las ecuaciones:
–
–
– 
Portada del sitio > EJERCICIOS de Matemáticas > 4º ESO > Ecuaciones > Ecuaciones Segundo Grado
Martes 16 de octubre de 2007, por


No tiene soluciones reales




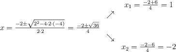
Resuelve las ecuaciones:
–
–
– 