Matemáticas IES

  • Inicio
  • Apuntes
  • Vídeos
  • Ejercicios
  • Ej. Resueltos
  • PAU
  • Acceso 25
  • Buscar
  • Portada del sitio
  • EJERCICIOS de Matemáticas
  • 1º BACH. CIENCIAS
  • Ecuaciones
  • Ecuaciones Segundo Grado. Coeficientes son letras

Ecuaciones Segundo Grado. Coeficientes son letras

|
  • ecuaciones
  • ecuaciones-segundo-grado

Resuelve la ecuación:
abx^2 - (a+b)x + 1 = 0

SOLUCIÓN

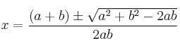
x=\frac{(a+b) \pm \sqrt{(a+b)^2-4 \cdot ab \cdot 1}}{2 \cdot ab}


x=\frac{(a+b) \pm \sqrt{a^2+b^2+2ab-4ab}}{2ab}


x=\frac{(a+b) \pm \sqrt{a^2+b^2-2ab}}{2ab}


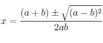
x=\frac{(a+b) \pm \sqrt{(a-b)^2}}{2ab}


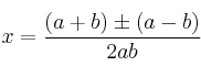
x=\frac{(a+b) \pm (a-b)}{2ab}


Las dos soluciones serían:
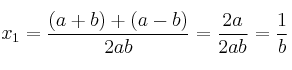
– x_1=\frac{(a+b) + (a-b)}{2ab} = \frac{2a}{2ab}=\frac{1}{b}
– x_2=\frac{(a+b) - (a-b)}{2ab} = \frac{2b}{2ab}=\frac{1}{a}

comentariosComentar el Ejercicio

  • Secciones
  • 1º BACH. CIENCIAS
    • Cónicas
    • Derivadas
    • Ecuaciones
    • Ecuaciones Exponenciales y Logarítmicas
    • Exámenes
    • Funciones (I)
    • Funciones II
    • Geometría en el Plano
    • Inecuaciones
    • Integrales
    • Logaritmos
    • Números Complejos
    • Números Reales
    • Polinomios y Fracciones Algebraicas
    • Probabilidad
    • Sistemas de Ecuaciones
    • Sucesiones
    • Trigonometría
  • 1º BACH. SOC.
  • 1º ESO
  • 2º BACH. CIENCIAS
  • 2º BACH. SOC.
  • 2º ESO
  • 3º ESO
  • 4º ESO

Palabras clave

  • ecuaciones
  • ecuaciones-segundo-grado

2001-2025  — Matemáticas IES
Mapa del sitio | Conectarse | Seguir la vida del sitio  RSS 2.0

SPIP