Ecuaciones irracionales
Resuelve la ecuación ![]()
SOLUCIÓN
En las ecuaciones irracionales debemos aislar la raíz y después elevar al cuadrado para eliminarla
![]()
![]()
![]()
![]()
![]()
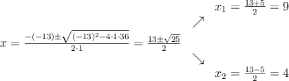
Resolvemos la ecuación de segundo grado

Ahora debemos verificar las soluciones (en las ecuaciones irracionales siempre hay que comprobar las soluciones)
SI
NO
Por tanto la única solución es ![]()