Ejercicio 2653 - Vectores - Geometría en el plano
Dado el vector
calcula
de manera que:
– a)
sea ortogonal a
– b) El modulo de 
SOLUCIÓN
– a) ![]()

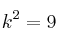
– b)

Dado el vector
calcula
de manera que:
– a)
sea ortogonal a
– b) El modulo de 
– a) ![]()

– b)
