Ejercicio determinar parámetros
Dada la función
, determinar los valores de
,
y
si sabemos que
tiene un óptimo en
y la pendiente de la recta tangente a
en
es
.
SOLUCIÓN
Se trata de un ejercicio clásico de aplicación de las derivadas (y digo clásico porque suele aparecer bastante en los exámenes).
Si nos piden 3 valores (a,b,c), el enunciado debería aportar 3 datos distintos, con objeto de encontrar un valor por cada dato, o a lo sumo, construir un sistema de 3 ecuaciones con 3 incógnitas.
La primera impresión nos dice que sólo tenemos dos datos, sin embargo, veremos que en el primero de ellos nos están dando dos afirmaciones (lo cual nos lleva a nuestros 3 datos buscados)
Dato1: sabemos que
tiene un óptimo en ![]()
Dato2: la pendiente de la recta tangente a
en
es ![]()
Sobre el Dato1: Los óptimos, también llamados puntos críticos o extremos (que puede ser máximos o mínimos) son puntos donde se anula la primera derivada.
Si hay un óptimo en el punto de abcisa
, significa que en
la derivada vale cero. En lenguaje matemático sería
.
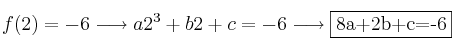
Por otra parte, la segunda coordenada del punto es
, lo cual quiere decir que la imagen de 2 es -6. En términos matemáticos:
.
Vamos ahora con el otro dato que nos aporta el problema.
Recordemos que la pendiente de la recta tangente en un punto es la derivada en dicho punto.
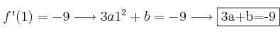
Si la pendiente de la recta tangente a
en
es
, significa que la derivada en
es
, expresado de forma matemática sría:
.
En definitiva, de los datos que aporta el problema sacamos estas 3 conclusiones:
• ![]()
• ![]()
• ![]()
Las aplicamos a la función
, cuya derivada es ![]()
• 
• 
• 
Se trata de un sistema de 3 ecuaciones con 3 incógnitas, que podemos resolver por cualquiera de los diferentes métodos que existen.
Si nos fijamos, las ecuaciones (1) y (3) tienen como incógnitas (a) y (b), lo que significa que podríamos resolver el sistema de dos ecuaciones con dos incógnitas para calcular (a) y (b). Posteriormente aplicaríamos esos valores obtenidos de a y b, a la ecuación (2) para calcular (c).
Sin embargo, eso es un caso particular (que se da en este ejercicio) y debemos aprender a resolverlo de forma general (para que nos valga para otros ejercicios). Por ello, lo voy a tratar como un sistema de 3 ecuaciones con 3 incógnitas que voy a resolver por sustitución (despejar una incógnita en una de las ecuaciones y sustituir su valor en el resto de ecuaciones):
•
(despejo “b” en la 1ª ec. y sustituyo en las otras ec.)
• 
• 
Como de la 3ª ec. he obtenido que
, bastaría con sustituir y obtenemos los otros valores:
• 
•
Los valores que nos piden son 
Mensajes
20 de octubre de 2017, 18:39, por ivan
si f’(1)= 9 , por que mas adelante paso a ser -9?
20 de octubre de 2017, 18:43, por ivan
• f’(1)=9
• f’(1)=9 ---> 3a1^2+b=-9 ---> 3a+b=-9
por que paso de ser 9 a -9 al evaluarlo?
8 de junio de 2019, 19:44, por Alexis Martín
és -9 desde el principio. Lo pone mal al empezar
17 de mayo de 2018, 13:24, por Manuel
El valor de c = 22, no c = 10. Ya que al substituir a = 1 y b = -12 en la ecuación 8a+2b+c = 6 el resultado es c = 22