Ejercicio logaritmos propiedades
Sabiendo que se cumplen las siguientes relaciones:
–
– 
Calcula el valor de ![]()
SOLUCIÓN
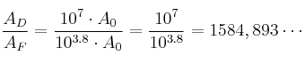
Para calcular el cociente
debemos despejar
y
en cada una de las ecuaciones:
–
![]()
En los pasos anteriores "log" repressenta el logaritmo decimal (base 10) y hemos usado algunas de las propiedades de los logaritmos:
–
–
– ![]()
De forma análoga podemos proceder en la segunda ecuación quedando:
![]()
Ya podemos calcular el cociente:
