Matemáticas IES

  • Inicio
  • Apuntes
  • Vídeos
  • Ejercicios
  • Ej. Resueltos
  • PAU
  • Acceso 25
  • Buscar
  • Portada del sitio
  • EJERCICIOS de Matemáticas
  • 1º BACH. CIENCIAS
  • Integrales
  • Ejercicios Integrales Inmediatas

Ejercicios Integrales Inmediatas

|
  • integrales
  • integrales inmediatas

Resuelve las integrales:

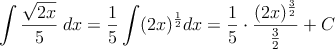
– \int \frac{\sqrt{2x}}{5}  \: dx
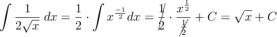
– \int \frac{1}{2\sqrt{x}} \: dx

SOLUCIÓN

\int \frac{\sqrt{2x}}{5}  \: dx = \frac{1}{5} \int (2x)^{\frac{1}{2}}dx=\frac{1}{5} \cdot \frac{(2x)^{\frac{3}{2}}}{\frac{3}{2}} + C

\int \frac{1}{2\sqrt{x}} \: dx = \frac{1}{2} \cdot \int x^{\frac{-1}{2}}dx=\cancel{\frac{1}{2}} \cdot \frac{x^{\frac{1}{2}}}{\cancel{\frac{1}{2}}}+C = \sqrt{x}+C

comentariosComentar el Ejercicio

  • Secciones
  • 1º BACH. CIENCIAS
    • Cónicas
    • Derivadas
    • Ecuaciones
    • Ecuaciones Exponenciales y Logarítmicas
    • Exámenes
    • Funciones (I)
    • Funciones II
    • Geometría en el Plano
    • Inecuaciones
    • Integrales
    • Logaritmos
    • Números Complejos
    • Números Reales
    • Polinomios y Fracciones Algebraicas
    • Probabilidad
    • Sistemas de Ecuaciones
    • Sucesiones
    • Trigonometría
  • 1º BACH. SOC.
  • 1º ESO
  • 2º BACH. CIENCIAS
  • 2º BACH. SOC.
  • 2º ESO
  • 3º ESO
  • 4º ESO

Palabras clave

  • integrales
  • integrales inmediatas

2001-2025  — Matemáticas IES
Mapa del sitio | Conectarse | Seguir la vida del sitio  RSS 2.0

SPIP