37
Hallar valores que hagan continua la función
Halla los valores de
y
para que la siguiente función sea continua:

SOLUCIÓN:
En
es continua por ser polinómica
En
es continua por ser polinómica
En
es continua por ser polinómica
Estudiamos la continuidad en los puntos que separan los trozos:
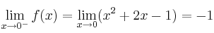
Veamos en
–
–
–
Para que haya límite, ambos límites laterales deben ser iguales, por tanto 
Veamos ahora en
–
–
–
Para que haya límite, ambos límites laterales deben ser iguales, por tanto
Como
,
Matemáticas IES