Integral resuelta de dos formas: inmediata y cambio de variable
Resuelve la intergral 
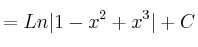
SOLUCIÓN:
Otra forma de resolver la integral es de forma directa, es decir es una integral inmediata (o directa) de tipo
porque el numerador es la derivada del denominador

![]()
Matemáticas IES