Operaciones con fracciones
Hacemos primero las operaciones entre paréntesis:



A continuación hacemos productos y cocientes



Opera y simplifica: 

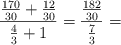
Hacemos primero las operaciones entre paréntesis:



A continuación hacemos productos y cocientes



Opera y simplifica: 
