Polinomios Cuadrado de una Diferencia
El cuadrado de
es:
– a)
– b)
– c)
– d)
– e) 
SOLUCIÓN
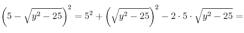
Aplicamos la fórmula del cuadrado de una diferencia
![]()
donde
Entonces:



Por tanto la respuesta correcta es (e)
El cuadrado de
es:
– a)
– b)
– c)
– d)
– e) 
Aplicamos la fórmula del cuadrado de una diferencia
![]()
Entonces:



Por tanto la respuesta correcta es (e)