Probabilidad rango de valores
Las probabilidades que tienen dos estudiantes R, W de resolver un mismo problema, por separado, son
y
respectivamente. Si se sabe que ambos estudiantes, trabajando al mismo tiempo (suma delas probabilidades), no logran resolverlo. Entonces, ¿cuáles valores son posibles para m?
– A) 2 y 4.
– B) 3 y 2.
– C) 4 y 3.
– D) 5 y 3.
SOLUCIÓN
La probabilidad
de cualquier suceso es un número comprendido entre 0 y 1

Esa norma se debe cumplir para ambos estudiantes por separado:
–
– 
Por tanto m es un número entre 1 y 5
Si trabajando juntos no logran resolverlo, la suma de ambas probabilidades debe ser menor que uno:

Haciendo la suma de fracciones obtenemos:

![]()
![]()
Si nos atenemos a las opciones de respuesta posibles, podemos ver qué números verifican la desigualdad:
–
–
–
–
Los números 2 y 3 verifican la desigualdad, por tanto la opción correcta es la ![]()
AMPLIACIÓN
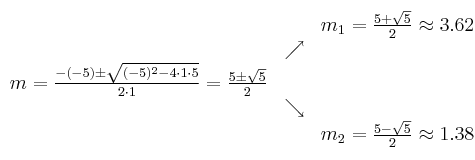
Si el enunciado no nos proporcionase opciones de respuesta, deberíamos resolver la inecuación de segundo grado
y el conjunto de soluciones de la misma sería el conjunto de posibles valores de m
Podemos resolverla dibujando la parábola y viendo la parte que está dabajo del eje horizontal. La solución sería:

Aproximando a dos decimales obtendríamos:
![]()
