Problema de sucesiones 4211
Inventa una sucesión aritmética y otra geométrica cuyo primer término sea 1 y el segundo 4. Escribe los 10 primeros términos de cada una , el término general y la suma de los 50 primeros.
SOLUCIÓN
Progresión aritmética, tal que ![]()
La diferencia es ![]()
Los 10 primeros términos:
![]()
Término general: ![]()
En nuestro caso será: ![]()
Operando tendremos: ![]()
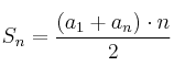
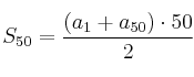
Para la suma de los 50 primeros términos usamos la fórmula

que en nuestro caso resulta en:

![]()
![]()
Entonces 
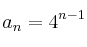
Progresión geométrica, tal que ![]()
La razón es ![]()
Los 10 primeros términos:
![]()
Término general: ![]()
En nuestro caso será: ![]()
Es decir, sería: ![]()
Para la suma de los 50 primeros términos usamos la fórmula

que en nuestro caso resulta en:

![]()
![]()
Entonces 