Punto medio
Si
es el punto medio del segmento
, calcula las coordenadas de
, siendo ![]()
SOLUCIÓN
es el punto medio del segmento
,
,
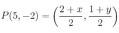
La fórmula para obtener las coordenadas del punto medio, para nuestro ejemplo es la siguiente:

De donde obtenemos que:

El punto
es 