Puntos de corte con los ejes
Calcula los puntos de corte con los ejes de coordenadas de la función 
SOLUCIÓN:


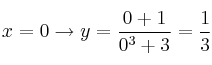
Punto de corte 

Punto de corte ![]()
Calcula los puntos de corte con los ejes de coordenadas de la función 
SOLUCIÓN:


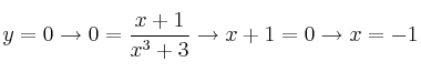
Punto de corte 

Punto de corte ![]()