Resolver un triángulo
En la imagen aparece un triángulo rectángulo de vértices A, B y C (rectángulo en C), que además es isósceles (ambos catetos miden igual). Si conocemos el valor de
y los ángulos
y
, ¿se podría calcular la distancia entre los puntos A y O? En caso afirmativo, expresa dicha distancia en función de los datos conocidos.
SOLUCIÓN
El triángulo rectángulo tiene un ángulo de 90º y dos de 45º (por ser isósceles).
Si nos centramos en el triángulo de vértices A, B y O observamos que podemos calcular sus ángulos:
Los ángulos
y
son fáciles de detectar.
Para el tercer ángulo aplicamos que la suma de los ángulos de un triangulo es 180º, por tanto sería:
![]()
Para resolver un triángulo no basta con conocer sus tres ángulos, necesitamos al menos uno de los lados.
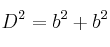
Se puede calcular el lado
aplicando Pitágoras al triángulo rectángulo ABC:

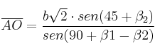
Teniendo los tres ángulos y un lado, podemos resolver el triángulo AOB aplicando el teorema de los senos.
Aplicamos la parte que nos interesa (para calcular AO):

De donde:

Si sustituimos D por su valor, obtenemos:

La fórmula anterior ya es perfectamente válida.
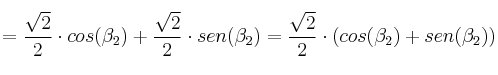
No obstante, si nos pidieran intentar simplificarla, aplicaríamos la fórmula del seno de una suma: 

Igualmente:
![]()
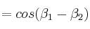
La longitud del segmento AO quedaría:

Simplificando tendríamos:

Como vemos no se ha simplificado la primera fórmula que obtuvimos, aunque matemáticamente es más elegante.