Resumen de Fórmulas de Probabilidad
Unión:
significa A ó B (se da alguno de ellos, se da al menos uno)
Intersección:
significa A y B (se dan ambos simultáneamente)
Suceso contrario: Se representa
, o bien
y se cumple:
![]()
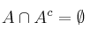
Sucesos Incompatibles: A y B incompatibles cuando ![]()
Probabilidad de Laplace 
Contrario: ![]()
Incompatibles: A y B incompatibles
![]()
Probab. de la unión: ![]()
Leyes de Morgan:
![]()
Un sólo contrario: ![]()
Independientes: A y B independientes
![]()
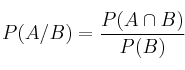
Condicionada: 
Mensajes
4 de abril de 2016, 12:27, por Pedro
Por favor, revisen la Ley de Laplace de la probabilidad que la han puesto de forma incorrecta
4 de abril de 2016, 19:40, por dani
Ya está bien. Gracias por el aviso. Un saludo.