Selectividad Andalucía 2012-1-A3
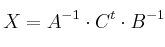
En primer lugar resolvemos la ecuación matricial
![]()
Calculamos
,
y
y hacemos el producto

Considera las matrices
Determina, si existe, la matriz
que verifica
, siendo
la matriz traspuesta de ![]()
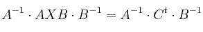
En primer lugar resolvemos la ecuación matricial
![]()
Calculamos
,
y
y hacemos el producto

Considera las matrices
Determina, si existe, la matriz
que verifica
, siendo
la matriz traspuesta de ![]()