Selectividad Andalucía 2012-1-A4
El punto
es el centro de un paralelogramo y
y
son dos vértices consecutivos del mismo.
– (a) Halla la ecuación general del plano que contiene al paralelogramo.
– (b) Determina uno de los otros dos vértices y calcula el área de dicho paralelogramo.
SOLUCIÓN
Consideremos el siguiente diagrama:
– a) Tenemos 3 puntos del plano (A, B y M), por tanto podemos tener dos vectores independientes y un punto (y con ellos la ecuación del plano).
Tomamos como vectores
y
y como punto ![]()

Resolviendo el determinante y simplificando obtenemos:

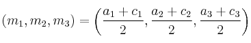
– b) Para calcular los vértices C y D podemos aprovechar la fórmula del punto medio de un segmento.
es el punto medio del segmento ![]()
Igualando componente a componente obtenemos 3 ecuaciones (de las que se obtienen los valores de las incógnitas
,
y
Por tanto, el punto es ![]()
Análogamente podemos obtener el punto
, tomando
como punto medio del segmento
.
Se obtiene ![]()
El área del paralelogramo viene determinada por el módulo del vector producto vectorial


unidades cuadradas
Mensajes
8 de abril de 2016, 20:11, por Alba
Hola, en el apartado c, el valor del vector AC me da como resultado (-2,-4,2)
10 de abril de 2016, 18:52, por dani
No sé a qué te refieres. No hay apartado c)
31 de mayo de 2016, 14:17, por Katherine
A lo que se refiere es el cálculo del área que el vector AC, es decir el punto C menos el punto A
A = (2,1,-1) y C = (0,3,1)
—> su vector sería (-2, 2, 2) no (0,2,-1) como está publicado