Selectividad Andalucía 2013 - J - B2
Sea
definida por
. Calcula la primitiva de
cuya gráfica pasa por el origen de coordenadas.
SOLUCIÓN
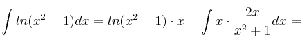
Para integrar la función logaritmo natural (o neperiano) hay que usar el método de integración por partes, asignado
al
porque es muy fácil de derivar.

![]()


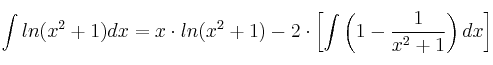
Para integrar un cociente de polinomios podemos hacer la división (pues el grado del numerador es mayor o igual) y quedaría de la forma:

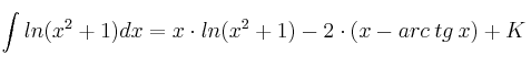
Por tanto, la integral indefinida quedaría:
![\int ln(x^2+1) dx = x \cdot ln(x^2+1) - 2 \cdot \left[ \int \left(1 - \frac{1}{x^2+1}\right)dx \right] \int ln(x^2+1) dx = x \cdot ln(x^2+1) - 2 \cdot \left[ \int \left(1 - \frac{1}{x^2+1}\right)dx \right]](local/cache-TeX/5656ea8cb115f314bb31197dea59d7c3.png)

Ahora tan sólo nos queda calcular el valor de la constante de integración
, para que la función pase por el punto
.
De donde
Por tanto la primitiva que nos piden es:

Mensajes
11 de febrero de 2018, 11:26, por Jean Pierre
Cuando se ha realizado la division por que ha salido de resto -1? A mi me sale 1. Un saludo.
4 de abril de 2018, 10:30, por dani
He revisado la división y es correcta.