Sistema 2x2 No Lineal
Resuelve el sistema de ecuaciones:

SOLUCIÓN
Se trata de un sistema no lineal (en los sistemas lineales las incógnitas no pueden ir multiplicadas entre sí, ni divididas entre sí, ni elevadas a exponentes mayores que 1).
Los sistemas no lineales se suelen resolver por sustitución: despejar una incógnita en una de las ecuaciones y sustituir en las demás ecuaciones.
Podemos despejar la incógnita que queramos en la ecuación que queramos.
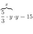
Despejamos "x" en la segunda ecuación:

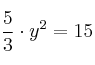
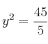
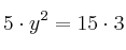
Ahora sustituimos en la primera ecuación:
![]()


![]()
![]()


Tenemos dos soluciones para "y". A cada una hay que buscarle su correspondiente "x"

Si 
Si 
Por tanto el sistema tiene dos soluciones:
y 