Sistema 3x3 Gauss
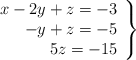
Resuelve el sistema de ecuaciones:

SOLUCIÓN

Intercambiamos las filas 1 y 3

![]()
![]()

Observamos que en la segunda fila todos son múltiplos de 3. Podemos dividir por 3 para simplificar cálculos

Finalmente hacemos ![]()

Pasamos a ecuaciones y resolvemos de abajo hacia arriba

![]()
![]()
![]()