Sistemas Problemas
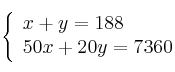
Un cajero tiene 188 billetes que suponen un importe total de 7360 euros. Sabiendo que sólo dispone de dos tipos de billetes (de 50 euros y de 20 euros), plantea y resuelve un sistema de ecuaciones que te permita averiguar cuántos billetes tiene de cada tipo
SOLUCIÓN
número de billetes de 50
número de billetes de 20 ![]()

Solución: ![]()