Término General de una Sucesión y suma de términos
Halla el término general de la siguiente sucesión:
![]()
Indica qué tipo de sucesión es y calcula la suma de sus 50 primeros términos.
SOLUCIÓN
![]()
Se trata de una progresión aritmética de diferencia
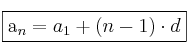
El término general de una progresión aritmética se puede expresar con la fórmula:

En este caso será:
![]()
![]()
![]()
La suma de los
primeros términos de una progresión aritmética, cuyo término general es
se puede expresar con la siguiente fórmula:
En este caso será:
