UNED A25 - 2013 Junio Modelo A Ejercicio 8
El dominio de la función
es:
SOLUCIÓN
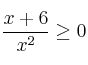
En primer lugar el radicando debe ser mayor o igual que cero (pues no podemos hacer la raíz cuadrada de un nº negativo)

Es una inecuación racional donde el denominador es siempre positivo (al ser un cuadrado), por tanto será el numerador el que defina el signo de la fracción.
![]()
En segundo lugar debemos observar que un denominador no se puede anular, por tanto
debemos quitar del dominio el punto ![]()
Teniendo en cuenta ambas observaciones, el dominio quedaría como:
![]()
Otra forma de expresarlo sería la siguiente:
![]()