Volumen de Tinaco en función de altura
Un tinaco tiene forma de un cono invertido unido con un cilindro. En la figura se muestra una sección del tinaco con sus dimensiones. Expresa el volumen en función de la altura.
Realizar una tabla donde se exprese el factor numérico de crecimiento utilizando la estructura de una función
SOLUCIÓN
Podemos ver que los triángulos ADB y AEF son semejantes. Entonces
![]()
Ponemos la relación anterior expresando sus medidas
![]()
El volumen de un cono se calcula con la fórmula ![]()
Sustituimos R por su valor ![]()
![]()
Con ello tenemos expresado el volumen del cono en función de la altura (h)
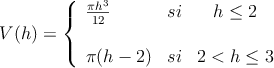
El volumen del tinaco (para
) se puede expresar como ![]()
Cuando h>2 entonces entra en juego también el cilindro y tendremos que expresar el volumen como:
Volumen del cono entero + Volumen del trozo de cilindro
Volumen del cono entero ![]()
El volumen de un cilindro es ![]()
El volumen de un trozo de cilindro en este caso es:
![]()
Observe que el Radio es 1 y que a la altura hay que restarle los 2m del cono
Finalmente podemos expresar el volumen mediante una función a trozos
