Matemáticas IES

  • Inicio
  • Apuntes
  • Vídeos
  • Ejercicios
  • Ej. Resueltos
  • PAU
  • Acceso 25
  • Buscar
  • Portada del sitio
  • EJERCICIOS de Matemáticas
  • 4º ESO
  • Ecuaciones
  • ecuaciones grado1 denominadores

ecuaciones grado1 denominadores

| 1 |
  • ecuaciones
  • ecuaciones de primer grado
  • ecuaciones con denominadores

Resuelve la ecuación:

 \frac{x}{3} + \frac{1}{2} = x - \frac{1}{6}

SOLUCIÓN

 \frac{x}{3} + \frac{1}{2} = \frac{x}{1} - \frac{1}{6}

m.c.m.(3,2,6) = 6

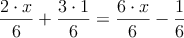
 \frac{2 \cdot x}{6} + \frac{3 \cdot 1}{6} = \frac{6 \cdot x}{6} - \frac{1}{6}

2x+3=6x-1


2x-6x=-1-3


-4x=-4 \longrightarrow x=\frac{-4}{-4} \longrightarrow \color{blue}{x=1}

comentariosComentar el Ejercicio

Sus comentarios

  • # El 30 de noviembre de 2006 a 14:55, por Dani En respuesta a: ecuaciones grado1 denominadores

    x = 1

    Responder a este mensaje

  • Secciones
  • 1º BACH. CIENCIAS
  • 1º BACH. SOC.
  • 1º ESO
  • 2º BACH. CIENCIAS
  • 2º BACH. SOC.
  • 2º ESO
  • 3º ESO
  • 4º ESO
    • Circunferencia
    • Ecuaciones
    • Estadística
    • Funciones 4º ESO
    • Geometría en el plano
    • Inecuaciones
    • Logaritmos
    • Números racionales
    • Números Reales
    • Polinomios
    • Probabilidad
    • Proporcionalidad
    • Radicales
    • Sistemas de ecuaciones
    • Trigonometría

Palabras clave

  • ecuaciones
  • ecuaciones con denominadores
  • ecuaciones de primer grado

2001-2025  — Matemáticas IES
Mapa del sitio | Conectarse | Seguir la vida del sitio  RSS 2.0

SPIP