Matemáticas IES

  • Inicio
  • Apuntes
  • Vídeos
  • Ejercicios
  • Ej. Resueltos
  • PAU
  • Acceso 25
  • Buscar
  • Portada del sitio
  • EJERCICIOS de Matemáticas
  • 4º ESO
  • Ecuaciones
  • ecuaciones primer grado denominadores

ecuaciones primer grado denominadores

|
  • ecuaciones
  • ecuaciones de primer grado
  • ecuaciones con denominadores

Resuelve la ecuación:
 x-1 - \frac{x-2}{2} + \frac{x-3}{3} = 0

SOLUCIÓN

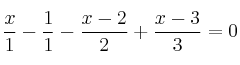
 x-1 - \frac{x-2}{2} + \frac{x-3}{3} = 0
 \frac{x}{1}-\frac{1}{1} - \frac{x-2}{2} + \frac{x-3}{3} = 0
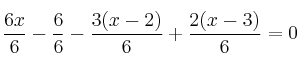
m.c.m.(2,3) = 6
 \frac{6x}{6}-\frac{6}{6} - \frac{3(x-2)}{6} + \frac{2(x-3)}{6} = 0
 6x-6 - 3(x-2) + 2(x-3)= 0
 5x-6 = 0
 x = \frac{6}{5}

comentariosComentar el Ejercicio

  • Secciones
  • 1º BACH. CIENCIAS
  • 1º BACH. SOC.
  • 1º ESO
  • 2º BACH. CIENCIAS
  • 2º BACH. SOC.
  • 2º ESO
  • 3º ESO
  • 4º ESO
    • Circunferencia
    • Ecuaciones
    • Estadística
    • Funciones 4º ESO
    • Geometría en el plano
    • Inecuaciones
    • Logaritmos
    • Números racionales
    • Números Reales
    • Polinomios
    • Probabilidad
    • Proporcionalidad
    • Radicales
    • Sistemas de ecuaciones
    • Trigonometría

Palabras clave

  • ecuaciones
  • ecuaciones con denominadores
  • ecuaciones de primer grado

2001-2025  — Matemáticas IES
Mapa del sitio | Conectarse | Seguir la vida del sitio  RSS 2.0

SPIP