Matemáticas IES

  • Inicio
  • Apuntes
  • Vídeos
  • Ejercicios
  • Ej. Resueltos
  • PAU
  • Acceso 25
  • Buscar
  • Portada del sitio
  • EJERCICIOS de Matemáticas
  • 4º ESO
  • Ecuaciones
  • ecuaciones primer grado denominadores

ecuaciones primer grado denominadores

|
  • ecuaciones
  • ecuaciones de primer grado
  • ecuaciones con denominadores

Resuelve la ecuación
\frac{x+2}{5} + \frac{2}{10} = \frac{3}{2} - \frac{7-x}{25}

SOLUCIÓN

\frac{x+2}{5} + \frac{2}{10} = \frac{3}{2} - \frac{7-x}{25}
m.c.m.(5,10,2,25)=50
\frac{10(x+2)}{50} + \frac{5 \cdot 2}{50} = \frac{25 \cdot 3}{50} - \frac{2(7-x)}{50}
10(x+2) + 5 \cdot 2 =25 \cdot 3 - 2(7-x)
10x+20 + 10 = 75 - 14 +2x
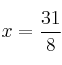
8x = 31
x = \frac{31}{8}

comentariosComentar el Ejercicio

  • Secciones
  • 1º BACH. CIENCIAS
  • 1º BACH. SOC.
  • 1º ESO
  • 2º BACH. CIENCIAS
  • 2º BACH. SOC.
  • 2º ESO
  • 3º ESO
  • 4º ESO
    • Circunferencia
    • Ecuaciones
    • Estadística
    • Funciones 4º ESO
    • Geometría en el plano
    • Inecuaciones
    • Logaritmos
    • Números racionales
    • Números Reales
    • Polinomios
    • Probabilidad
    • Proporcionalidad
    • Radicales
    • Sistemas de ecuaciones
    • Trigonometría

Palabras clave

  • ecuaciones
  • ecuaciones con denominadores
  • ecuaciones de primer grado

2001-2025  — Matemáticas IES
Mapa del sitio | Conectarse | Seguir la vida del sitio  RSS 2.0

SPIP