Portada del sitio > EJERCICIOS de Matemáticas > 1º BACH. CIENCIAS > Polinomios y Fracciones Algebraicas > fracciones algebraicas
fracciones algebraicas
Domingo 14 de octubre de 2007, por





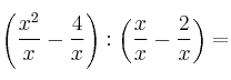
Opera y simplifica: 
Portada del sitio > EJERCICIOS de Matemáticas > 1º BACH. CIENCIAS > Polinomios y Fracciones Algebraicas > fracciones algebraicas
Domingo 14 de octubre de 2007, por





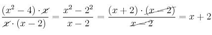
Opera y simplifica: 